您的位置: 首页 - 学生工作 - 奖励资助 - 正文

奖励资助

beat365唯一官方网站2021-2022年度博士研究生奖助学金学院评审结果公示(更新)

发表日期:2021年10月14日点击量:发表者:地空学工组

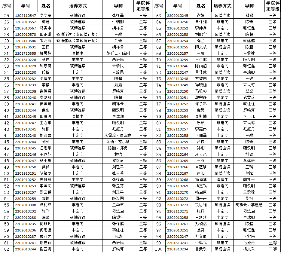
     根据《beat365唯一官方网站关于2021-2022学年博士研究生奖助学金评选的通知》要求,经个人申报、班级审核工作组审核、前期材料公示及学院评审组评审,beat365唯一官方网站2021-2022年度博士研究生奖助学金推荐名单于10月11日进行了公示,公示期间收到相关意见反馈,经报评审小组同意,对推荐名单予以更新(红色标注部分)如下:


1EF78

1EF78

      

      本公示中的评定等级为博士奖助学金中的学校学业助学金等级,学业奖学金及国家助学金部分不分等级,根据学校发布的参评条件及资助对象要求,符合相关条件的同学均获评。


   公示期:10月11日-10月15日

 
 公示期间如对评定结果有异议,请于10月15日12:00前,相关意见以文字形式发送邮箱dkxyxg@163.com,联系人:祁阳阳 高凌峰。


beat365唯一官方网站

2021年10月14日